Mitäs se Pazi ottaa jos laitat minun vakio ecuun softan m54 imunokalle ja nv pakonokalle? Tietenki himo oos tuo obd 2 samalla.
m52b28 virityshaaveiluja ja pari muuta..
Collapse
This topic is closed.
X
X
-
Sait privaa.
EDIT siitä helppoa lisätehoa m52 koneeseen: https://www.turnermotorsport.com/p-1...-325i-328i-m3/
EDIT2 aiempien säätöhommien ihmettely on vielä edelleenkin kesken, kun on ollut tärkeämpää korjattavaa ko. autossa. Mutta väsäsin siinä samalla obd portin auton sisälle, jos vaikka tuolla sais loggauksen pelaamaan luotettavasti:

Olen monelta muultakin kuullut, että se konehuoneen pyöreä pistoke on ongelmallinen paikka loggaukseen ajon aikana.Last edited by Pazi88; 02-12-2016, 08:59.
Instagram, YouTube kanava
ms41, ms42, ms43, ms45, mss50, mss52, mss54, edc15, edc17, me7.2 jne. ews poistot ja muut softailut-> priva
Comment
-
-
Parempi upottaa seetejä kanteen tarvittaessa jos kansi muutenkin menee työn alle. Mutta muista muutoksista riippuu kuinka paljon tilaa tarvii ylipäätään tehdä, vakiomosassa venttiilit mahtuvat helposti olemaan tuon sun valkkaaman nokan verran auki ykk:ssä tekemättä mitään. Imuventtiilihän on auki ykk:ssa vanos aikaisella ihan vakionakin noin 3,5mm. Vakiokoneet on suurilla toleransseilla, vakiona venat mahtuu oleen jotain 6-7mm auki ykk:ssa, vähän suuremmilla koloilla olisi tullut ihan vapaasti pyörivä kone.....Originally posted by Bemu Z3 View PostKellä varmaa tietoa mikä on tuon B28 koneen vakiomäntien lakipaksuus. EI varmaan googlettamalla löydy. Pitäisi tietää, että paljo voi jyrsiä venttiili koloja syvemmiksi. Noilla jyrkillä nokilla pitäisi syventää koloja 2 - 3mmLast edited by naukkis; 03-12-2016, 14:15.
Comment
-
Ootko Naukkis AIKUUSTEEN oikeesti varma, että näillä nokilla ei ota mäntiin kiinni...
imu 270 astetta 1mm. pako 260 astetta 1mm. nostoo molemmissa 11.7mm. ajotukset imu 4.5mm pako 3.6mm ja muokatut nokkapukit.
En nyt muuten kysy, vaan jos olet varma, niin turhaan lähden mäntIin jyrsimään koloja.
Comment
-
No ei niitä kannata lähteä jyrsimään jos ei ole tarvetta. Vakiona venttiilillä on kannessa tasoon pari milliä, vakio pahvi on 1,75mm, männät jää 0.45mm tason alle ja b28 männissä on venttiilin koloa pari milliä. Ja vakionakin vanos aikaisella imuventtiili on auki melkein yhtä paljon kuin tuolla nokalla, vanosta tosin ei tuosta ajoituksesta voi päästää kääntämään aikaisemmalle mutta ei ole tarvettakaan.Originally posted by Bemu Z3 View PostOotko Naukkis AIKUUSTEEN oikeesti varma, että näillä nokilla ei ota mäntiin kiinni...
imu 270 astetta 1mm. pako 260 astetta 1mm. nostoo molemmissa 11.7mm. ajotukset imu 4.5mm pako 3.6mm ja muokatut nokkapukit.
En nyt muuten kysy, vaan jos olet varma, niin turhaan lähden mäntIin jyrsimään koloja.
Mutta ei tolla nokalla toimi vakiopuristuksilla, litistyksiä tarvii nostaa ihan reilusti ja arvatenkin tila venttiilin ja männän välillä pienenee.
Comment
-
Mittailin nyt männän katkosvälykset m52b28 vanhoista renkaista. Oli jopa 1.5mm
Joutunee hakia marmorilta uudet renkaat tai sitten vaan ostaa sen rautalohkon :thinkE36 328i M50B30 turbo
Skoda vRS
Inpa löytyy vikakoodin lukuun, kyselyt privalla.
Ncs expert, ja pienet koodauksetkin luonnistuu
EX: E36, E34, 2xE39, 2xE46, E91
Comment
-
Olen ennakoinut tätä vakio MAFin loppumista kesken ja koska siitä ei ollut paljoa täällä vielä juttua niin tässä ehkä jotain.
Ei oma keksimää mutta käännän vastauksia suomeksi. Ja omalla vastuulla ja en todellakaan tiedä paikkaansapitävyydestä.
Hyvänä peukalosääntönä MAF-taulukon muokkaukseen:
1k vastus = kerro arvot 1,1 (lisää 10%)
2k vastus = kerro arvot 1,2 (lisää 20%)
2.2k vastus = kerro arvot 1,22 (lisää 22%)
Sitten loggaus hienosäätöä varten bensakarttoja varten, tms.
Ja vastus yhden ja ainoan saamani tiedon mukaan tulee sarjaan keltaiseen MAF-piuhaan.
Itse purkaisin ainakin johtosarjaa ja juottaisin laadukkaan vastuksen väliin ja sitten kutistesukat päälle ensin yksittäiseen kaapeliin ja sitten koko helahoito hyvällä teipillä pakettiin.
Romraiderilla paljon asiaa sivuten:
http://www.romraider.com/forum/viewt...=bmw&start=600
http://www.romraider.com/forum/viewt...p?f=42&t=12090
Ilmeisesti sitä Alpinan rikastuskarttaa tai muunnoskarttaa tms arvoja voi käyttää hyväksi lähtökohtana tietyn kokoisella vastuksella.
Siitähän joku täällä jo mainitsikin.
Muistaa vaan että ilmamäärä ei lisäänny samaa tahtia jännitteen kanssa vaan eksponentiaalisesti.Last edited by Remotion; 06-12-2016, 02:38.
Comment
-
MAF muunnoskäppyrä noudattaa kolmannen asteen polynomifunktiota, jolloin sen muokkaaminen ei ole niin yksinkertaista, kuin vain kertoa sitä jollain vakiolla. Toki sinnepäin sen saa. Tähän oli joku excelikin olemassa, mutta en saa sitä kännykällä tähän liitettyä. Ja itsellä on tämän excelin osalta testailut kesken, niin en osaa varmaksi sanoa onko sekään ok käyttää.
Monet näyttää lisäksi jättäneen tekemättä koko MAF käyrän muokkauksen ja kertoneet suoraan bensakarttaa. Niinkin kyllä saa seoksen kohdilleen, mutta kuorman laskentaa käytetään monessa muussakin paikkaa ja tämä sekottaa ne ihan kokonaan.
Sitä alpinan softan maf käppyrää ei voi käyttää hyväksi vastushommissa, koska sen käppyrän muoto on ihan eri, mitä vakio maffin. Mutta koska alpina käyttää s50 maffia, voi sen käppyrän ottaa käyttöön sellaisenaan s50 maffia käytettäessä ja ei tarvi sen kummemmin hienosäätää.Last edited by Pazi88; 06-12-2016, 09:55.
Instagram, YouTube kanava
ms41, ms42, ms43, ms45, mss50, mss52, mss54, edc15, edc17, me7.2 jne. ews poistot ja muut softailut-> priva
Comment
-
Näin on, kirjoitin sen jo kertaalleen mutta otin pois kun ajattelin että joku pahastuu tästäkin turhana knoppailuna.Originally posted by Pazi88 View PostMAF muunnoskäppyrä noudattaa kolmannen asteen polynomifunktiota.
Sinälläänhän ne arvot ovat jo tauluissa valmiiksi laskettujen polynomifunktioiden tuloksia joten jos ne noudattelevat logaritmista asteikkoa niin mahtaako mennä edes pahasti pieleen jos ne vain kertoo tietyllä luvulla. Periaatteessa pitäisi toimia.Last edited by Remotion; 07-12-2016, 03:17.
Comment
-
Jos joku meinaa hakia männänrenkaat marmorilta nikasil lohkoon niin 480€laakiOriginally posted by Matuh View PostMittailin nyt männän katkosvälykset m52b28 vanhoista renkaista. Oli jopa 1.5mm
Joutunee hakia marmorilta uudet renkaat tai sitten vaan ostaa sen rautalohkon :think
jäi itseltä ostamatta
E36 328i M50B30 turbo
Skoda vRS
Inpa löytyy vikakoodin lukuun, kyselyt privalla.
Ncs expert, ja pienet koodauksetkin luonnistuu
EX: E36, E34, 2xE39, 2xE46, E91
Comment
-
Rupesin miettimään tarkemmin tuota hommaa ja piti ihan exceli ottaa esiinOriginally posted by Remotion View PostNäin on, kirjoitin sen jo kertaalleen mutta otin pois kun ajattelin että joku pahastuu tästäkin turhana knoppailuna.
Sinälläänhän ne arvot ovat jo tauluissa valmiiksi laskettujen polynomifunktioiden tuloksia joten jos ne noudattelevat logaritmista asteikkoa niin mahtaako mennä edes pahasti pieleen jos ne vain kertoo tietyllä luvulla. Periaatteessa pitäisi toimia.
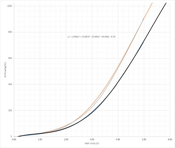
Tommosia käppyröitä piirtelin:
Sininen on vakio maffin käppyrä.
Musta on exelillä tehty 4 asteen polynomifunktion trendiviiva. neljännen asteen siksi, koska sillä R-toiseen arvo oli parempi, mitä kolmannen asteen funktiolla.
Oranssi käppyrä on sit tämän funktion perusteella tehty viiva jossa X-akselia on litistetty, kuten periaatteessa tapahtuu kun MAF:n kanssa sarjaan liitetään vastus.
Ja harmaa käyrä on jossa MAF käppyrän arvoja on kerrottu vain vakiolla.
Eli ei nuo nyt paljoa heitä mutta heittää kuitenkin. Itse taidan kokeilla miten pelaa tuolla hankalammin lasketulla käppyrällä. olin jo lähdössä tinaileen vastusta tuonne, mutta tulikin vielä mieleen että mistähän ne on nyt edes keksineet että 2,2k vastus esim puottaa jännitettä 20% :think U=RI eli kun vastusta muutetaan, pitäs tietää mikä on virta, että jännitemuutoksen voi tietää. Eli pitää vissiin kaivaa jännitemittari esiin ja vielä vähän mittailla ennenkuin rupee sähläämään.
Instagram, YouTube kanava
ms41, ms42, ms43, ms45, mss50, mss52, mss54, edc15, edc17, me7.2 jne. ews poistot ja muut softailut-> priva
Comment
-
Yllättävän hyvin osui. Joka tapauksessahan niitä saa vielä säätää dynossa silti kun itsellä ainakin tulee samaan aikaan S52B32 nokat kiinni.
Itse päättelin että jos 1k pudottaa 10% niin silloin pitäis loogisesti maffin langan olla kymmenen kilo ohmin luokkaa. Jännitehän tuolla on maks 5V ja se pitäisi säätää niin että vaihtelu väli on 0,5-4,7V. Jossa 0,5V on tyhjäkäynnillä ja 4,7V maksimivirtaus täyskaasu täysteho.
Voihan sen säätää tietysti eritavallakin mutta noin se on lukemani perusteella tehtaalta tullessa.
"You will be close. It depends how you set up the cam timing (retard the intake cam for high end, sacrificing torque). I have a very similar setup on my 328 and I see 4.91V max, stock cam timing using BMW timing blocks. I am on stock headers though. It's not a problem of the tube size being a restriction, but moreso a problem of no more capacity to measure correctly past 725kg/h (5.00V signal). If it's not measured, then it will not calculate the load correctly.
Best way to tell is to log a WOT run using Testo or similar."
Toivottavasti kokeilet tätä luonnossa ja sitä vastuksen lisäämistä ja otat siitä sellaiset ohjeet ja kuvat että lasisilmäinen puupääkin eli meikäläinen ymmärtää.Last edited by Remotion; 08-12-2016, 03:18.
Comment
-
Joo ehdottomasti tullee juttua, kun oikeasti jotain olen saanut aikaan. Nyt on vielä ollut ihan vaan yleistä ihmettelyä
Tuo hanskalokeron obd porttikaan ei pelannut ollenkaan, niin en vieläkään saa logattua kunnolla. Ilmeisesti jokin kytkentävirhe sattu.
Koitin etsiä tietoa millä tuo 2,2k ohm ja 20% on saatu ja en tämän kummempaa löytänyt:
"The 2.2k resistor is based on MRFs testing where he found a 2.2k resistor dropped the voltage from 1v to 0.8v.
The resistor gets put in series (inline) on the yellow MAF signal wire."
"If you're multiplying the whole table by a single value, the curve stays the same. I believe using resistors is the cheap, crappy way out but a good rule of thumb to get things working is every 1k of resistance, add 10%.
So 1k resistor = multiply value by 1.1 (adds 10%)
So 2k resistor = multiply factory value by 1.2 (adds 20%)
So 2.2k resistor = multiply factory value by 1.22 (adds 22%)"
Äh onkai se paska ja epätarkka tyyli tehdä jos noinkin vähäiseen "tietoon" koko homma perustuu. Yksi ainut mittapiste kuka tietää millasella setupilla
No minäpä teen omat mittaukset paljonko nuo vastukset oikeasti vaikuttaa jännitteeseen, niin saa laskettua homman paljon tarkemmin.
Instagram, YouTube kanava
ms41, ms42, ms43, ms45, mss50, mss52, mss54, edc15, edc17, me7.2 jne. ews poistot ja muut softailut-> priva
Comment
-
Ihan kiinteän vastuksen tilallehan voi laittaa vaikka tuollaisen tarkkuuspotentiometrin http://www.yeint.fi/index.php?main=6...productID=2492
Sitten kun säätö on suurinpiirtein kohdalla, niin mittaa vastuksen ja laittaa tilalle lankavastuksen, joka vastaa sitä potikan säätöarvoa.Coupe :think
sigpic
Comment
Comment